火山研究解説集:薩摩硫黄島 (産総研・地質調査総合センター作成)
地中温度勾配
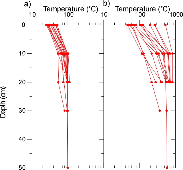
図に見られるように地表面温度と地下の状態は次のように対応しています.
a)地表面温度が20~50℃では地中は沸点温度に抑えられ,そのような場所では沸点温度(約100℃)の噴気孔が存在するか,または噴気地となっている.
b-1)地中温度が50~100℃では,温度勾配が大きく(約25℃/cm),地下20 cmの温度は200~700℃となる.すなわち,たとえ地表温度が50℃程度でも,地表直下には200℃以上の高温のガスが存在していることを示唆している.このような場所では,火山ガスから析出した硫黄の固まりが地表を覆っている.これが高温のガスを地下に閉じこめ,地表付近では大きな温度勾配を示し熱伝導が卓越した場所となっている.
b-2)地表面温度が100℃より高温な場所では,最高で850℃に達する高温噴気孔が点在している.
このように,山頂の熱活動は,高温の噴気孔,低温(約100℃)の噴気孔,噴気孔の周囲の地中温度異常域(噴気地)の3つです.一方,山腹の熱活動にはおそらく高温の噴気孔が存在せず,沸点温度以下の低温の噴気孔とその周囲の温度異常域(噴気地)からなると考えられます.地表面温度分布図に見られるように,その範囲は広範です.
Matsushima et al. (2003)のFig.5を改変.
LINKS
以下の1ファイルが,このファイルと内容が同一です(詳細):
この画像へのリンク:
